Your dog doesn’t need vitamin C — but you do
By Alex Berezow, PhD
When your dog looks longingly at you as you eat breakfast, out of compassion and sympathy, do you ever find yourself pouring some orange juice into his bowl? Of course not. You might get bitten. Or, at the very least, you’ll get a puzzled look. He wants the bacon.
Though an increasing number of Americans are treating their pets like babies and children, they are not tiny humans. This is particularly relevant when it comes to nutrition. What a human needs to be healthy is often quite different from what an animal needs. Veganism might be fine for you, but it could kill your cat.

Apparently, a lot of people don’t know that there are basic biological differences between humans and their pets, including those who manufacture and sell dog food. As I was walking through a mall in Poland, I came across this poster for a brand called Royal Canin. (See photo.)
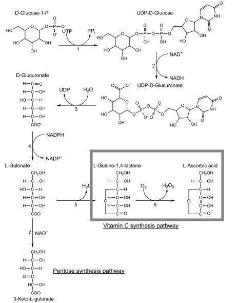
The translated text is, “Recipe for health.” Notice that one of the ingredients in this recipe is vitamin C. But dogs don’t need vitamin C. Their bodies can synthesize vitamin C all on their own. Unlike humans, they do not need an external source. To see why, let’s examine the vitamin C biosynthetic pathway:

Source: G. Drouin et al. Curr Genomics. (2011)
What this figure depicts is the step-by-step synthesis that vertebrates’ body cells perform to create vitamin C. Each step is catalyzed by an enzyme, and each enzyme is encoded by a gene. The process begins with a derivative of glucose (a sugar) and ends with ascorbic acid (vitamin C).
The reaction that occurs inside the box is where things get tricky. Most vertebrate species, like dogs and cats, possess a functioning enzyme that is able to convert gulono-1,4-lactone to ascorbic acid. But not all vertebrates have a functional enzyme at this final step. Most primates, including humans, do not. Neither do bats, guinea pigs, or teleost fish (which constitute 96% of all fish species). Why?
On several different occasions during vertebrate evolution, the gene encoding the final step of vitamin C synthesis mutated and quit working. In other words, it broke. One of these mutations occurred early in primate evolution, which is why humans and many of our cousins (like gorillas and chimps) also cannot make vitamin C.
How can a species survive without what might appear to be a vital gene? Easy. We can consume vitamin C in our diet. To survive, we don’t need to synthesize our own vitamin C.
But dogs can, which is why they want bacon, not orange juice.

Source: Guy Drouin, Jean-Rémi Godin, and Benoît Pagé. “The Genetics of Vitamin C Loss in Vertebrates.” Curr Genomics 12(5): 371–378. (2011) doi: 10.2174/138920211796429736
____________________
Credit: American Council on Science and Health





















